

作品包括:
Word版设计说明书1份
任务书一份
开题报告一份
CAD版本图纸,共12张
摘要
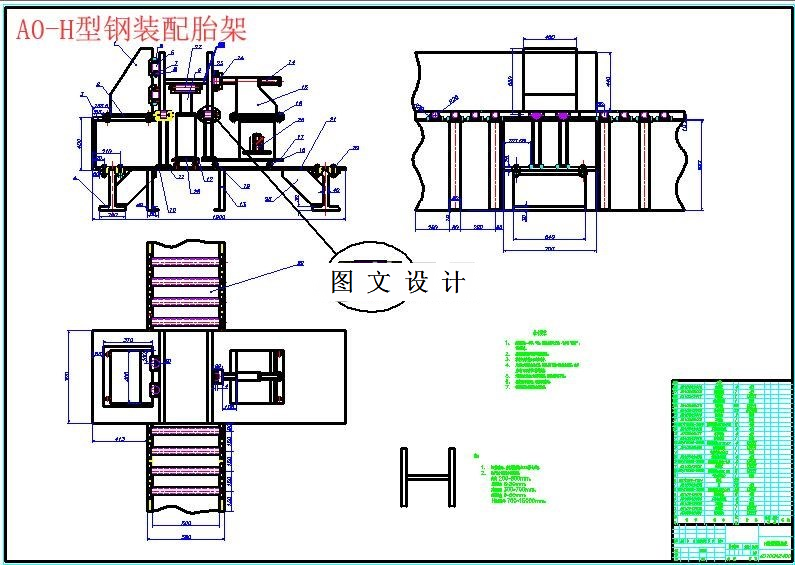
H型钢作为钢结构工程主要材料被发达国家大量应用于工厂建设、高层建筑物、桥梁等,现已全面普及。随着我国国民经济的发展,其需求量也已与日俱增。 因此,作为钢结构的基本单元的H 型钢需求量将很大,随着新技术、新设备及新工艺的出现与应用,在未来5 ~10 年,H 型钢(箱型梁)生产线及其相关产品将大有作为。本设计的主要内容是H 型钢生产线中的装配部分及焊接部分,其中装配部分从事装配及定位焊工作用,而焊接工作则在V形架上进行。本次设计的装配胎架为可调节式,可生产的H型钢各项数据为,高度:200~800mm、腹板厚度:6~30mm、 翼板宽度:300~700mm、 翼板厚度:9~60mm、 H型钢长度:700~15000mm。本设计结构简单明了,操作也非常方便,适用性广泛,基本满足经济适用的要求。
温馨提示:
1、题目前面的备注【字母数字编号】为本站整理分类的编号,与课题内容无关,请选题时忽视;
2、若题目上备注三维,则表示文件里包含三维源文件,由于三维组成零件数量较多,为保证预览截图的简洁性,本站将三维文件夹进行了打包。三维及CAD预览截图,均为本站电脑打开软件进行截图的,保证能够打开,下载原件超高清,下载后解压即可;
3、本站所有资源如无特殊说明,都需要本地电脑安装Office2007。图纸软件为AutoCAD,PROE,UG,SolidWorks,CATIA等;
4、本站所有图文资料仅供用户学习参考,不作为任何商用或其他用途;
5、本站不保证下载资源的准确性、安全性和完整性, 不包修改,不支持退换,同时也不承担用户因使用这些下载资源对自己和他人造成任何形式的伤害或损失;
6、 下载文件中如有侵权或不适当内容,请与我们联系,我们立即纠正。