 
		

作品包括:
Word设计说明书1份
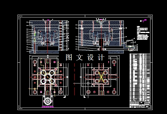
CAD版本图纸,共13张
UG三维图一份
摘要
随着电动车市场的快速发展,电动车后视镜作为车辆的重要安全部件,其质量与性能至关重要。本文着重探讨了电动车后视镜的注塑模具设计过程,旨在提高后视镜的制造效率和质量。设计过程中,首先分析了电动车后视镜的结构特点和材料要求,确定了模具设计的关键参数和尺寸。针对后视镜的复杂形状和精细结构,采用了先进的模具分型技术和多腔模设计,以提高生产效率和降低成本。在模具结构设计方面,考虑了模具的刚性、耐磨性和热稳定性等因素,采用了高强度钢材和精密加工技术,确保了模具的耐用性和精度。同时,针对注塑过程中可能出现的缺陷和问题,设计了相应的冷却系统和顶出机构,以保证产品的质量和成型效果
温馨提示:
1、题目前面的备注【字母数字编号】为本站整理分类的编号,与课题内容无关,请选题时忽视;
2、若题目上备注三维,则表示文件里包含三维源文件,由于三维组成零件数量较多,为保证预览截图的简洁性,本站将三维文件夹进行了打包。三维及CAD预览截图,均为本站电脑打开软件进行截图的,保证能够打开,下载原件超高清,下载后解压即可;
3、本站所有资源如无特殊说明,都需要本地电脑安装Office2007。图纸软件为AutoCAD,PROE,UG,SolidWorks,CATIA等;
4、本站所有图文资料仅供用户学习参考,不作为任何商用或其他用途;
5、本站不保证下载资源的准确性、安全性和完整性, 不包修改,不支持退换,同时也不承担用户因使用这些下载资源对自己和他人造成任何形式的伤害或损失;
6、 下载文件中如有侵权或不适当内容,请与我们联系,我们立即纠正。