

作品包括:
Word设计说明书1份
CAD版本图纸,共10张
UG三维图一份
摘要
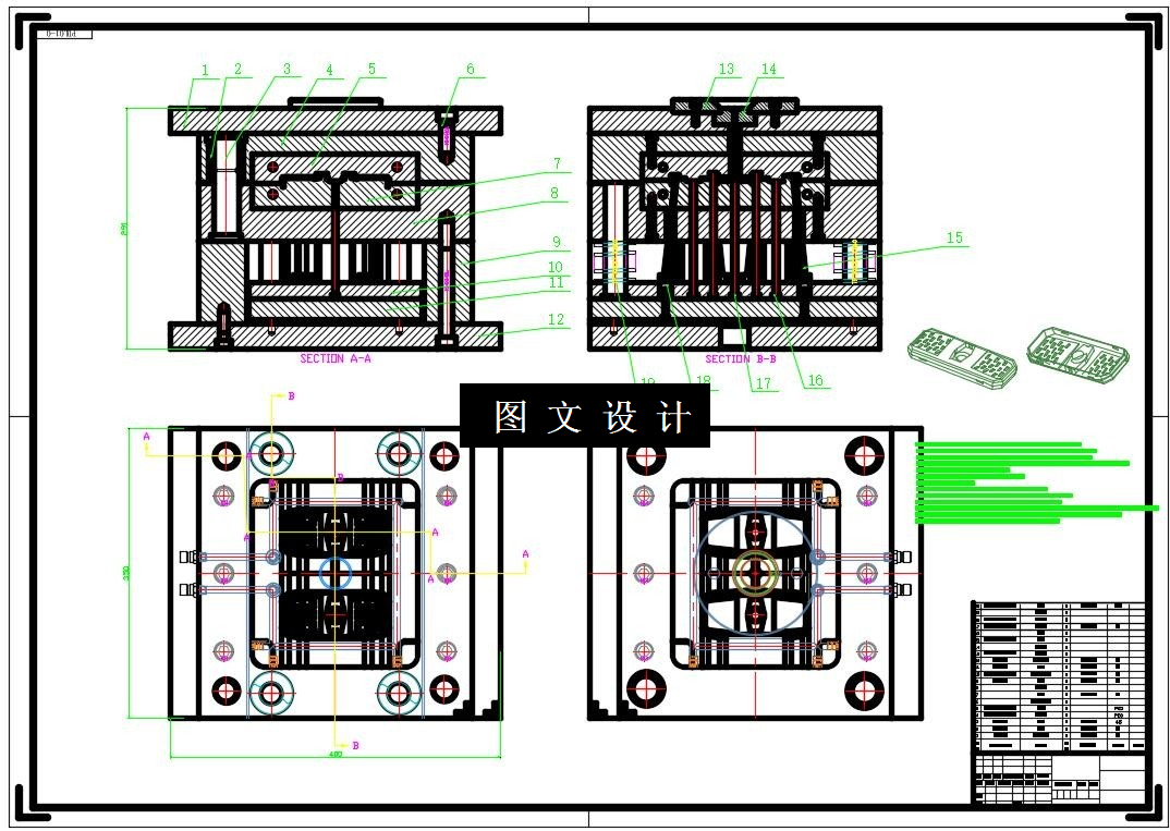
遥控器外壳都属于塑料的制品,属于我们模具设计课程的设计范围,所以本次的课题设计就是来围绕遥控器的外壳注塑成型展开的,在此模具设计论文中,将遥控器的外壳注塑成型的整个设计过程进行了详细的阐述,在这个模具的设计过程中,根据塑料的制品的外观,塑件的用途,塑件的工艺性,尺寸的要求还有尺寸的精度要求制定了严谨的设计路线,其中包括了这几个模块,它们是设计模具的背景以及工艺的分析,选择适用的注射机还有工艺参数,成型零部件还有冷却系统,脱模机构,浇注系统的设计还有一些总结式的分析。
温馨提示:
1、题目前面的备注【字母数字编号】为本站整理分类的编号,与课题内容无关,请选题时忽视;
2、若题目上备注三维,则表示文件里包含三维源文件,由于三维组成零件数量较多,为保证预览截图的简洁性,本站将三维文件夹进行了打包。三维及CAD预览截图,均为本站电脑打开软件进行截图的,保证能够打开,下载原件超高清,下载后解压即可;
3、本站所有资源如无特殊说明,都需要本地电脑安装Office2007。图纸软件为AutoCAD,PROE,UG,SolidWorks,CATIA等;
4、本站所有图文资料仅供用户学习参考,不作为任何商用或其他用途;
5、本站不保证下载资源的准确性、安全性和完整性, 不包修改,不支持退换,同时也不承担用户因使用这些下载资源对自己和他人造成任何形式的伤害或损失;
6、 下载文件中如有侵权或不适当内容,请与我们联系,我们立即纠正。