

作品包括:
Word版设计说明书1份
CAD版本图纸,共8张
UG三维图一套
摘要
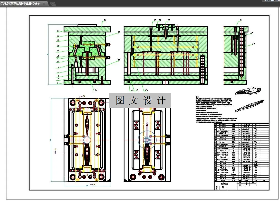
此次设计为罗德尼战列舰舰体塑料模具设计。接到课题以后首先简单地分析了零件的结构以及用途,包括设计原因,注塑成型的概念,在选取材料的时候选取了ABS为原料原因也很简单,其不含毒素也没有异味,很符合罗德尼战列舰舰体零件的要求。在分型面选取上参考了选取分型面的重要因素最终选择下端面为分型面。注射机是按照该塑件的体积以及材料的成型特点选取。浇注系统在选取是考虑到塑件的结构采用点浇口,并考虑塑料流动均匀选择了合适的点浇口位置,位置确定为塑件上端面中心位置。凹凸模设计是因为该塑件相对简单所以选择了整体式。该设计还包括冷却系统的设计选用了两根冷却水道进行冷却。脱模机构选择推杆以及排气系统确定为利用板与板之间的间隙进行排气。最主要的抽芯机构的设立采用了最常用的斜导柱分型抽芯机构。
温馨提示:
1、题目前面的备注【字母数字编号】为本站整理分类的编号,与课题内容无关,请选题时忽视;
2、若题目上备注三维,则表示文件里包含三维源文件,由于三维组成零件数量较多,为保证预览截图的简洁性,本站将三维文件夹进行了打包。三维及CAD预览截图,均为本站电脑打开软件进行截图的,保证能够打开,下载原件超高清,下载后解压即可;
3、本站所有资源如无特殊说明,都需要本地电脑安装Office2007。图纸软件为AutoCAD,PROE,UG,SolidWorks,CATIA等;
4、本站所有图文资料仅供用户学习参考,不作为任何商用或其他用途;
5、本站不保证下载资源的准确性、安全性和完整性, 不包修改,不支持退换,同时也不承担用户因使用这些下载资源对自己和他人造成任何形式的伤害或损失;
6、 下载文件中如有侵权或不适当内容,请与我们联系,我们立即纠正。