

作品包括:
Word版设计说明书1份
CAD版本图纸,共10张
UG三维图一份
摘要
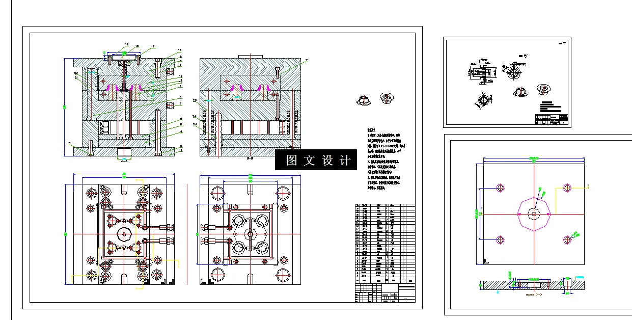
移动套注塑模流分析及模具设计. 提供三维(三维有UG8.5格式)+二维装配图及主要零件图。 本次设计的制品为塑料移动套,利用UG来完成制品3D模型建模,并完成相关成型部件的设计,利用CAD/UG来完成其成型部分的2D和3D零件图。该塑件采用一出四型腔布局,侧浇口浇注系统,采用环绕式冷却系统。模具结构紧凑、工作可靠、操作方便、运转平稳、冷却效果好、劳动强度低、生产效率高、生产的塑件精度高、生产成本低。在完成模具设计后。利用Moldflow7.1,对塑件进行注塑过程的充填、保压、冷却、翘曲等相关成型参数进行模拟,并生成模流分析报告。本文从型腔数量和布局的确定、型芯、型腔的设计、浇注系统的设计、冷却系统设计等给出了详细的设计过程。对数控编程项目进行了刀具的选择,加工工艺的选择,加工参数的设计严谨合理。在模流分析方便,根据塑件的材料,制定合理的注塑成型工艺参数,并实现充填优化。
温馨提示:
1、题目前面的备注【字母数字编号】为本站整理分类的编号,与课题内容无关,请选题时忽视;
2、若题目上备注三维,则表示文件里包含三维源文件,由于三维组成零件数量较多,为保证预览截图的简洁性,本站将三维文件夹进行了打包。三维及CAD预览截图,均为本站电脑打开软件进行截图的,保证能够打开,下载原件超高清,下载后解压即可;
3、本站所有资源如无特殊说明,都需要本地电脑安装Office2007。图纸软件为AutoCAD,PROE,UG,SolidWorks,CATIA等;
4、本站所有图文资料仅供用户学习参考,不作为任何商用或其他用途;
5、本站不保证下载资源的准确性、安全性和完整性, 不包修改,不支持退换,同时也不承担用户因使用这些下载资源对自己和他人造成任何形式的伤害或损失;
6、 下载文件中如有侵权或不适当内容,请与我们联系,我们立即纠正。