

作品包括:
Word设计说明书1份
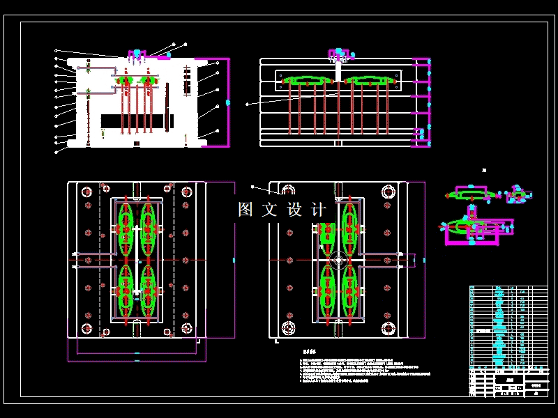
CAD版本图纸,共12张

摘要
本次的课题为台灯外壳的注射成型模具设计,主要从台灯外壳材料特性、成型性能及台灯外壳的形状、型腔结构等多角度详细分析了台灯外壳注塑加工工艺性。因无批量生产要求,且零件体积不大、结构较为简单,故采用“一模四件”的生产方式。初步选择注塑机的型号和规格,分析台灯外壳结构及生产方式宜采用单分型结构,对浇注系统、成型零部件、导向及定位机构、脱模机构、冷却系统、模架各部件零件都进行了相关的计算和选择。最后,在参照台灯外壳的体积、重量等参数后对注塑机的相关主要参数进行校核,以判断所选的注塑机能否满足注塑要求。
温馨提示:
1、题目前面的备注【字母数字编号】为本站整理分类的编号,与课题内容无关,请选题时忽视;
2、若题目上备注三维,则表示文件里包含三维源文件,由于三维组成零件数量较多,为保证预览截图的简洁性,本站将三维文件夹进行了打包。三维及CAD预览截图,均为本站电脑打开软件进行截图的,保证能够打开,下载原件超高清,下载后解压即可;
3、本站所有资源如无特殊说明,都需要本地电脑安装Office2007。图纸软件为AutoCAD,PROE,UG,SolidWorks,CATIA等;
4、本站所有图文资料仅供用户学习参考,不作为任何商用或其他用途;
5、本站不保证下载资源的准确性、安全性和完整性, 不包修改,不支持退换,同时也不承担用户因使用这些下载资源对自己和他人造成任何形式的伤害或损失;
6、 下载文件中如有侵权或不适当内容,请与我们联系,我们立即纠正。