

作品包括:
Word版说明书1份,共24页,约5500字
开题报告一份
CAD版本图纸,共4张
UG三维图一份
摘 要
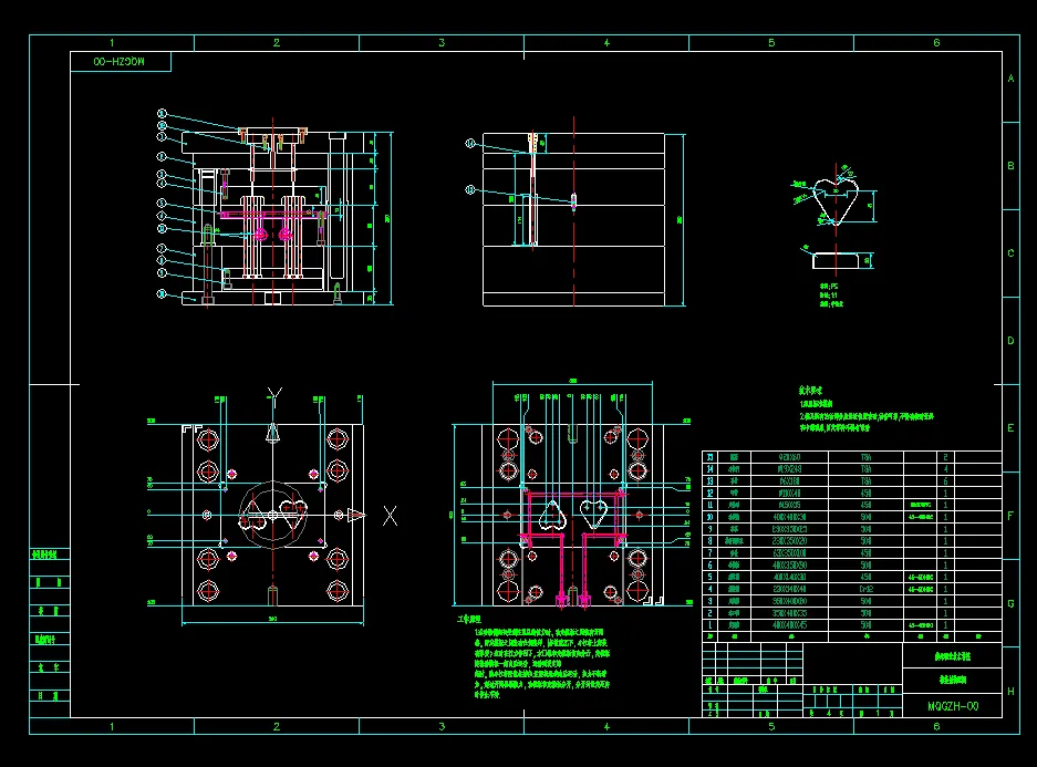
本次是针对塑料棉签盖的设计,根据零件材料的工艺性能分析,还有对外观形状和表面质量的要求,所以采用的是点浇口一模两腔的形式, 用Moldflow分析软件来确定塑件的最佳浇口位置。推出是用3根圆柱形推杆的形式推出,这样可以达到塑件平衡,成型塑件能够安全可靠地被推出来。
关键词:棉签盖;分型面;点浇口
目 录
前 言 1
1 塑件的工艺分析 2
1.1 塑件的成型工艺性分析 2
1.2 塑件PS的性能特点 2
1.3 塑件的成型特点 2
2 模架的结构设计 4
2.1 镶件的选择 4
2.2 模架的结构 5
3 模具的基本结构设计 7
3.1 模具的基本结构 7
3.1.1 确定成型方案 7
3.1.2 型腔布置 7
3.1.3 分型面的选择 7
3.1.4 确定推出机构 8
3.2 选择浇注系统 8
3.2.1 浇口位置的选择 8
3.2.2 流道设置 9
3.3 选择冷却系统 10
3.3.1 冷却方式确定 10
3.3.2 水孔设计 10
4 选择成型设备 12
4.1 注塑成型 12
4.2 设备选择 12
4.2.1注射量 12
4.2.2 锁模力 13
4.2.3 注射机工艺参数 13
5 模具总装配图 14
总结 15
致谢 16
附录 17
参考文献 18
温馨提示:
1、题目前面的备注【字母数字编号】为本站整理分类的编号,与课题内容无关,请选题时忽视;
2、若题目上备注三维,则表示文件里包含三维源文件,由于三维组成零件数量较多,为保证预览截图的简洁性,本站将三维文件夹进行了打包。三维及CAD预览截图,均为本站电脑打开软件进行截图的,保证能够打开,下载原件超高清,下载后解压即可;
3、本站所有资源如无特殊说明,都需要本地电脑安装Office2007。图纸软件为AutoCAD,PROE,UG,SolidWorks,CATIA等;
4、本站所有图文资料仅供用户学习参考,不作为任何商用或其他用途;
5、本站不保证下载资源的准确性、安全性和完整性, 不包修改,不支持退换,同时也不承担用户因使用这些下载资源对自己和他人造成任何形式的伤害或损失;
6、 下载文件中如有侵权或不适当内容,请与我们联系,我们立即纠正。