欢迎来到龙图网在线图文分享平台-CAD图纸,设计说明书,工业设计3D模型,三维软件下载!   客服QQ:2363701252
热搜:

工艺夹具 模具设计 数控编程 土木工程 3D模型

L746-家用刨冰机机体注射成型模具设计 下载积分:50 资料编号: L746

1.打开支付宝或者微信扫描二维码。
2.填写金额:50 
3.添加备注,填写资料编号:
资料编号: L746
4.支付成功后,请发资料编号到邮箱:jxsj168@qq.com
会有专人在15分钟内把资料发到您邮箱
备注:如果付款忘记填写资料编号,则发邮件时附带您的交易明细截图即可。
请耐心等待,如超过30分钟还没收到,请联系客服QQ:2363701252
点击分享:

作品描述

作品包括:

说明书一份,共38页,约10000字

CAD版本图纸,共10张


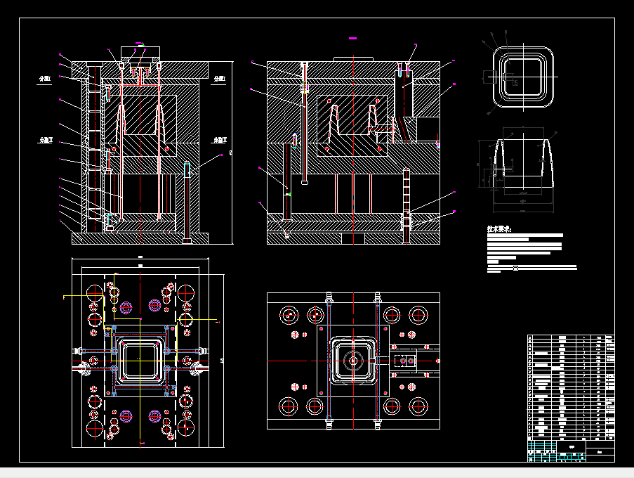
本次课题针对家用刨冰机机体,完成了注射模拟分析和模具的结构设计。选择 PP 作为塑件的材料。其整体外观上近似四棱台。外、内层侧壁上有φ20mm 和φ10mm 两个同心孔。首先使用 UG 软件对塑件进行三维造型,然后导入到 Moldflow 软件中对塑件进行注射模拟分析。根据模拟分析结果确定浇注系统和冷却系统的总体设计方案,并依据相关数据优化成型工艺。根据家用刨冰机机体的塑件生产图样进行塑件的结构及成型工艺性分析。然后选择模具分型面并确定了型腔数目。选用的成型设备为 XS-ZY-1000 型注射机。确定了型芯型腔相关零件的结构与推出机构的设计方案,并完成了总装图结构设计。模具采用一模一腔、两点浇口、滑块侧抽芯结构。


关键词 家用刨冰机机体 注射模拟 模具设计 点浇口 滑块侧抽芯


目录

5

第一章 概述 6

? 注射成型技术 6

? 注射成型原理 6

? 注射成型过程的基本要素 6

? 注射成型模拟技术 6

? 注射成型模拟技术简介 6

? 主要应用及发展方向 6

? 注射模具设计概述 6

? 注射模具的功能 6

? 注射模具的设计基本要求及设计流程 6

? 注射机与注射模具的匹配 6

? 本章小结 6

第二章 刨冰机机体的工艺性分析 8

? 塑件材料的选择 8

? 塑件的结构特点 8

? 塑件的尺寸精度及表面质量分析 8

? 注射工艺参数的选择 9

? 本章小结 10

第三章 刨冰机机体的注射成型数值模拟分析 11

4.4 Moldflow 软件介绍 11

4.4.1 软件组成 11

4.4.2 Moldflow 的注射成型模拟技术 11

4.4.3 Moldflow 的基本流程 11

4.5 刨冰机机体的注射成型数值模拟 11

4.5.1 几何建模 11

4.5.2 网格划分 11

4.5.3 材料的选择 12

4.5.4 浇口位置及数量的确定浇注系统的创建 12

4.5.5 充填分析 13

4.5.6 冷却系统的创建及冷却分析 15

4.5.7 翘曲分析 16

4.6 数值模拟分析结果的指导意义 17

第四章 刨冰机机体的注射模具结构设计 18

4.1 塑件在模具中的位置 18

4.2 浇注系统的设计 19

4.3 注射机的选择与校核 21

4.4 成型零部件的设计 22

4.4.2 成型零部件的结构 22

 

4.4.3 成型零件工作尺寸的计算 23

4.4.4 成型零件的材料选择 25

4.4.5 成型零件的主要加工工艺 25

4.5 模具总装结构 27

4.5.2 总装结构图 27

4.5.3 推出方式及结构 27

4.5.4 有关计算 29

4.5.5 开模工作过程 30

总结 31

31

参考文献 33

 


温馨提示:

1、题目前面的备注【字母数字编号】为本站整理分类的编号,与课题内容无关,请选题时忽视;

2、若题目上备注三维,则表示文件里包含三维源文件,由于三维组成零件数量较多,为保证预览截图的简洁性,本站将三维文件夹进行了打包。三维及CAD预览截图,均为本站电脑打开软件进行截图的,保证能够打开,下载原件超高清,下载后解压即可;

3、本站所有资源如无特殊说明,都需要本地电脑安装Office2007。图纸软件为AutoCAD,PROE,UG,SolidWorks,CATIA等;

4、本站所有图文资料仅供用户学习参考,不作为任何商用或其他用途;
5、本站不保证下载资源的准确性、安全性和完整性, 不包修改,不支持退换,同时也不承担用户因使用这些下载资源对自己和他人造成任何形式的伤害或损失;

6、 下载文件中如有侵权或不适当内容,请与我们联系,我们立即纠正。


线