

作品包括:
Word版设计说明书1份
工序卡一套
工艺过程卡1套
CAD版本图纸,共6张
Proe三维图一套
摘要
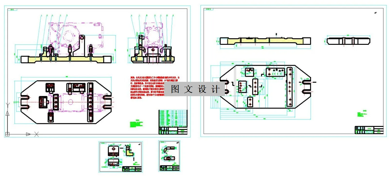
箱体类零件一般采用铸造毛坯,当然也有采用锻件来制造的,但是这样的成本太高,而对于箱体类零件的材料也多采用灰铸铁,这里也不排除有特殊要求而采用铸钢的,箱体类零件的加工主要是要保证重要的端面、轴线、孔等等。这次毕业设计课题可以分为两个部分,一个是S195箱体零件机械加工工艺规程设计,另一个为S195箱体加工专用机床夹具设计;本次设计分析了S195箱体的功用,根据平时学习的机械加工工艺方面的知识,确定解决了S195箱体零件在加工过程中的定位基准选择问题、定位夹紧问题以及安排加工工艺方面的问题,在制定加工工艺路线的过程中确定了工艺参数、毛坯加工余量、工序加工余量以及加工过程中需要的加工机床和刀具; 本次毕业设计的设计路线主要如下:第一,首先绘制S195箱体的零件图;第二,初步拟定S195箱体的机械加工工艺路线;第三,根据零件图设计一套夹具,该夹具是镗S195箱体孔专用夹具;第四,根据机械加工工艺路线编制机械加工工艺卡;第五,编制说明一份。
温馨提示:
1、题目前面的备注【字母数字编号】为本站整理分类的编号,与课题内容无关,请选题时忽视;
2、若题目上备注三维,则表示文件里包含三维源文件,由于三维组成零件数量较多,为保证预览截图的简洁性,本站将三维文件夹进行了打包。三维及CAD预览截图,均为本站电脑打开软件进行截图的,保证能够打开,下载原件超高清,下载后解压即可;
3、本站所有资源如无特殊说明,都需要本地电脑安装Office2007。图纸软件为AutoCAD,PROE,UG,SolidWorks,CATIA等;
4、本站所有图文资料仅供用户学习参考,不作为任何商用或其他用途;
5、本站不保证下载资源的准确性、安全性和完整性, 不包修改,不支持退换,同时也不承担用户因使用这些下载资源对自己和他人造成任何形式的伤害或损失;
6、 下载文件中如有侵权或不适当内容,请与我们联系,我们立即纠正。