

作品包括:
Word版说明书1份,共37页,约11000字
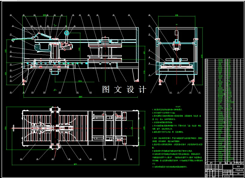
CAD版本图纸,共6张
SW三维图一套
仿真动画视频一份
![1750916936908396.webp O@@]04}L8352K)W)6_Q2D{7.webp](/static/upload/image/20250626/1750916936908396.webp)
摘 要
本设计说明书主要是针对汽车后轮轮毂加工的工艺设计,及加工中典型工序的专用工装,包括:夹具、刀具和量具的设计说明及分析。
首先编排汽车后轮轮毂的生产加工工艺规程,确定最佳方案后;再进行工艺过程中典型工序的专用工装设计。本设计完成了钻床攻丝夹具的设计,用于对直径12mm孔的攻丝;完成了车上端面和台阶面的车床夹具的设计。夹具设计完成后,还进行了专用刀具、量具的设计。量具是检验135mm孔用的光滑极限量规;刀具是同时镗135mm和136mm孔的复合镗刀。设计过程中查阅了大量的相关资料,通过研究、计算、分析,完成了全部的设计任务。并撰写了此设计的设计说明书。。
关键字:汽车轮毂;工艺规程 ;夹具 ;刀具 ;量具
目录
摘 要 3
Abstract 4
第1章 绪论 5
1.1. 国内外发展状况 5
1.1.1. 国内夹具工装发展状况 5
1.1.2. 国外夹具工装发展状况 5
1.2. 机床夹具 6
1.2.1. 夹具的组成及作用 6
1.2.2. 夹具现状及发展方向 7
1.3. 汽车轮毂 8
1.3.1. 轮毂的介绍与主要参数 8
1.3.2. 轮毂分类及其优劣 9
1.3.3. 轮毂的制造方式 10
1.3.4. 轮毂的选择 11
第2章 机械结构设计方案 12
2.1. 设计思路 12
2.2. 机械结构设计 13
2.2.1. 设备结构原理的研究 13
2.2.2. 工作原理 13
2.3. 卡爪的运动方式 15
第3章 零件设计计算与建模 16
3.1. 气缸计算 16
3.1.1. 气缸的动作原理 16
3.1.2. 气缸的选择 17
3.1.3. 气缸行程的选择 18
3.2. 工作台 18
3.3. 卡爪 19
3.4. 连接板 20
3.5. 圆形机构 21
3.6. 气缸 22
3.7. 连接板2和连接杆 22
3.8. 支撑板 23
3.9. 隔离筒 24
3.10. 整体装配三视图 26
第4章 仿真 27
4.1. solidworks软件介绍 27
4.2. 模型仿真 28
4.2.1. 运动仿真的前期工作 28
4.2.2. 进入运动仿真界面 28
4.2.3. 添加动力源 30
4.2.4. 开始仿真计算 31
4.2.5. 运动仿真的过程展现 32
第5章 总结与展望 36
谢 辞 37
温馨提示:
1、题目前面的备注【字母数字编号】为本站整理分类的编号,与课题内容无关,请选题时忽视;
2、若题目上备注三维,则表示文件里包含三维源文件,由于三维组成零件数量较多,为保证预览截图的简洁性,本站将三维文件夹进行了打包。三维及CAD预览截图,均为本站电脑打开软件进行截图的,保证能够打开,下载原件超高清,下载后解压即可;
3、本站所有资源如无特殊说明,都需要本地电脑安装Office2007。图纸软件为AutoCAD,PROE,UG,SolidWorks,CATIA等;
4、本站所有图文资料仅供用户学习参考,不作为任何商用或其他用途;
5、本站不保证下载资源的准确性、安全性和完整性, 不包修改,不支持退换,同时也不承担用户因使用这些下载资源对自己和他人造成任何形式的伤害或损失;
6、 下载文件中如有侵权或不适当内容,请与我们联系,我们立即纠正。