

作品包括:
Word版设计说明书1份
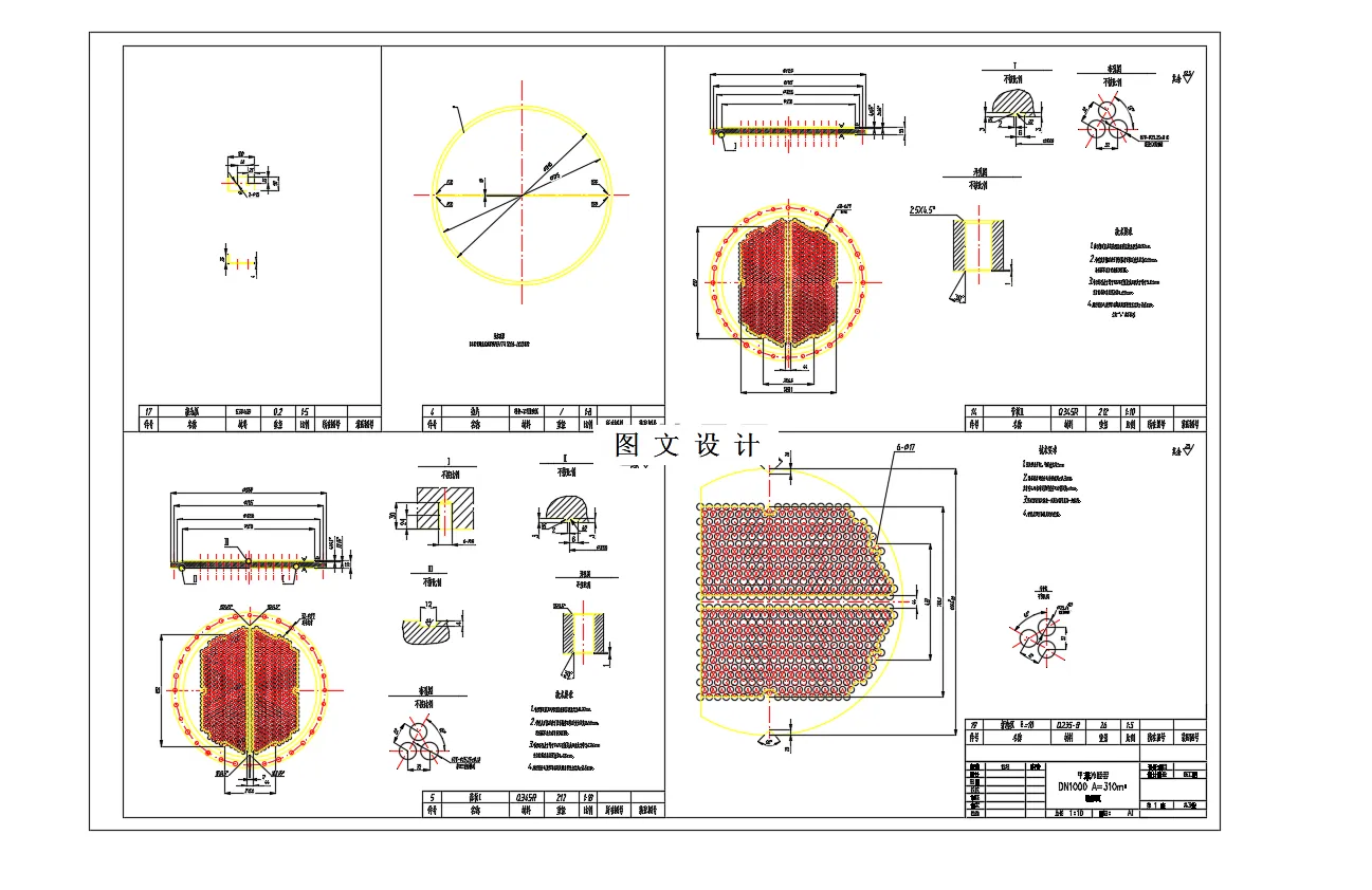
CAD版本图纸,共8张
摘要
本文是对100T/h甲苯冷却器进行设计。在本设计中根据管壳程压力温度条件选定换热器类型为固定管板式,其主要组成部分有筒体、管板、换热管、封头、管箱、支座等。本设计按照GB/T151-2014《热交换器》等国标对换热器进行工艺计算、结构设计、强度计算以及材料选择,并对换热器的制造、检验、安装、使用、维修方面进行要求。在工艺计算中,在满足换热裕度、换热器条件、压力降、温差的条件下再进行强度计算等步骤。本次设计换热器为单壳程双管程,壳程走甲苯,管程走水,布管类型为正三角形布管,筒体直径为1000mm,换热管长度为6000mm,管板类型为管板兼法兰式,在设计中对管板进行厚度估算然后6种工况校核。本次设计温差不大故不用膨胀节。本次设计在满足换热的前提下,对换热器进行安全、经济、高效的设计。
温馨提示:
1、题目前面的备注【字母数字编号】为本站整理分类的编号,与课题内容无关,请选题时忽视;
2、若题目上备注三维,则表示文件里包含三维源文件,由于三维组成零件数量较多,为保证预览截图的简洁性,本站将三维文件夹进行了打包。三维及CAD预览截图,均为本站电脑打开软件进行截图的,保证能够打开,下载原件超高清,下载后解压即可;
3、本站所有资源如无特殊说明,都需要本地电脑安装Office2007。图纸软件为AutoCAD,PROE,UG,SolidWorks,CATIA等;
4、本站所有图文资料仅供用户学习参考,不作为任何商用或其他用途;
5、本站不保证下载资源的准确性、安全性和完整性, 不包修改,不支持退换,同时也不承担用户因使用这些下载资源对自己和他人造成任何形式的伤害或损失;
6、 下载文件中如有侵权或不适当内容,请与我们联系,我们立即纠正。